Research featured in press releases


Nickel atoms detected in the cold gas around interstellar comet 2I/Borisov

Jagiellonian University • 19 May 2021

Unbound nickel atoms and other heavy elements have been observed in very hot cosmic environments, including the atmospheres of ultra-hot exoplanets and evaporating comets that ventured too close to our Sun or other stars. A new study conducted by JU researchers reveals the presence of nickel atoms in the cold gasses surrounding the interstellar comet 2I/Borisov. The team's finding is being published in Nature on 19 May 2021.


Emission lines from gaseous atomic nickel in the near-ultraviolet spectrum of 2I/Borisov.
        Interstellar comets and asteroids are precious to science because, unlike millions of minor bodies that formed in our Solar System, they originate from distant planetary systems. Until very recently, the existence of such cosmic vagabonds has merely been an interesting possibility, based on the fact that our Solar System ejected most of the primordial comets and asteroids into the interstellar space in its early days. The objects came to light in 2017 with the unexpected detection of the asteroidal 1I/'Oumuamua, followed by the discovery of the only known cometary interloper, 2I/Borisov, in 2019. "The scientific value of these objects is absolutely overwhelming, as they carry a plethora of information about their home planetary systems," says Piotr Guzik of the Jagiellonian University in Poland, author of the new study on 2I/Borisov.
        The gasses around 2I/Borisov enabled astronomers to obtain the first precious insights into the chemical composition of an alien icy world. "We were curious what atoms and molecules make up the gasses around 2I/Borisov," explains study co-author Michal Drahus of the Jagiellonian University. There was only one way to find out. Over three nights in late January 2020, the Very Large Telescope of the European Southern Observatory in Chile was pointed at comet 2I/Borisov to collect the object's faint light. The incoming photons were directed to the X-shooter spectrograph, which split the light into its constituent wavelengths, enabling the identification of atoms and molecules through their characteristic spectral signatures.
        Guzik and Drahus immediately scrutinized the incoming data and realized the existence of unforeseen spectral features. "At first, these features seemed impossible to identify with standard cometary species," says Guzik. After months of fruitless research, the team was close to giving up. But unexpectedly, a solution appeared on the horizon. "It was literally a 'Beautiful Mind' kind of situation, when the wavelengths of these lines materialized in a tabulated spectrum of comet Ikeya-Seki and pointed at atomic nickel," says Guzik, who first realized the surprising answer. "It didn't seem to make any sense," Drahus adds, "but it really did!"
        The problem was that comet Ikeya-Seki passed so close to the Sun that the surrounding dust started evaporating, releasing various metals. The same mechanism could not apply to the cold comet 2I/Borisov, which passed too far from the Sun. "The nickel in 2I/Borisov seems to originate from a short-lived nickel-bearing molecule that is incorporated in the cometary ice and sublimates at low temperatures," explains Guzik. "This is really cool because heavy elements have not been observed in cold cosmic environments before." According to the study, nickel is not very abundant, accounting for less than 1 in 100,000 atoms in the gasses around 2I/Borisov.
        The study was supported by the National Science Centre of Poland through ETIUDA scholarship no. 2020/36/T/ST9/00596 and SONATA BIS grant no. 2016/22/E/ST9/00109, as well as the Polish Ministry of Science and Higher Education through grant no. DIR/WK/2018/12. The project is part of research conducted at the Department of Stellar and Extragalactic Astronomy of the Jagiellonian University's Astronomical Observatory.
 
[read more...]

A Dizzying Show by Comet NEOWISE

Gemini Observatory • 25 August 2020

Gemini Observatory images reveal striking details of our recent celestial visitor's rotation.


Rotation timelapse animation of Comet NEOWISE obtained with Gemini North on Hawaii's Maunakea on the night of 1 August 2020. This sequence was obtained using the Gemini Multi-Object Spectrograph (GMOS) with the 468/8 nm filter and digitally enhanced using a dedicated algorithm. The field of view is 2 arcminutes across.
        When Comet NEOWISE (C/2020 F3) sped through the inner Solar System during the middle of 2020, astronomers and the general public watched in awe as this "dirty snowball" shed gas and dust into space, producing a striking show visible to the naked eye. Close-up observations, led by Michal Drahus and Piotr Guzik of Jagiellonian University in Krakow, used the international Gemini Observatory, a Program of NSF's NOIRLab, to observe the materials escaping from the comet over time. One set of observations, obtained on 1 August 2020 from the Gemini North telescope on Hawaii's Maunakea, displays a spiraling stream of molecular gas that reveals the rotation of the comet's nucleus. The timelapse sequence, compressed to only a few seconds, represents about one fifth of the approximately 7.5-hour rotation period of the comet.
        The observations, obtained under a research program to explore the rotational dynamics of the comet, took place over several evenings, and were limited by the comet's relatively close proximity to the Sun and the resulting short observing windows. The Gemini observations allowed the researchers to determine the rotation of the comet to excellent accuracy and to look for changes in the rotation rate.
        Comets consist of ices, rocks, and dust left over from the formation of our Solar System. Some comets follow highly elongated orbits which send them close to the Sun where they warm up and cause the frozen gases to vaporize, releasing molecules and debris into space. It is thought that most comets release gasses in geyser-like jets and that is what researchers think is happening in the Gemini images. As the vaporized material erupts from the comet its rotation causes it to appear to spiral outward, much like the water from a spinning garden hose. The very same material impacts the comet's rotation causing its nucleus to spin-up or spin-down, though for most comets, the effect is too weak to detect.
        This research was reported in an Astronomer's Telegram on 14 August 2020. The team is composed of Michal Drahus (Jagiellonian University in Krakow), Piotr Guzik (Jagiellonian University in Krakow), Andrew Stephens (Gemini Observatory), Steve B. Howell (NASA Ames Research Center), Stanislaw Zola (Jagiellonian University in Krakow), Mikolaj Sabat (Jagiellonian University in Krakow) and Daniel E. Reichart (University of North Carolina at Chapel Hill).
 
[read more...]

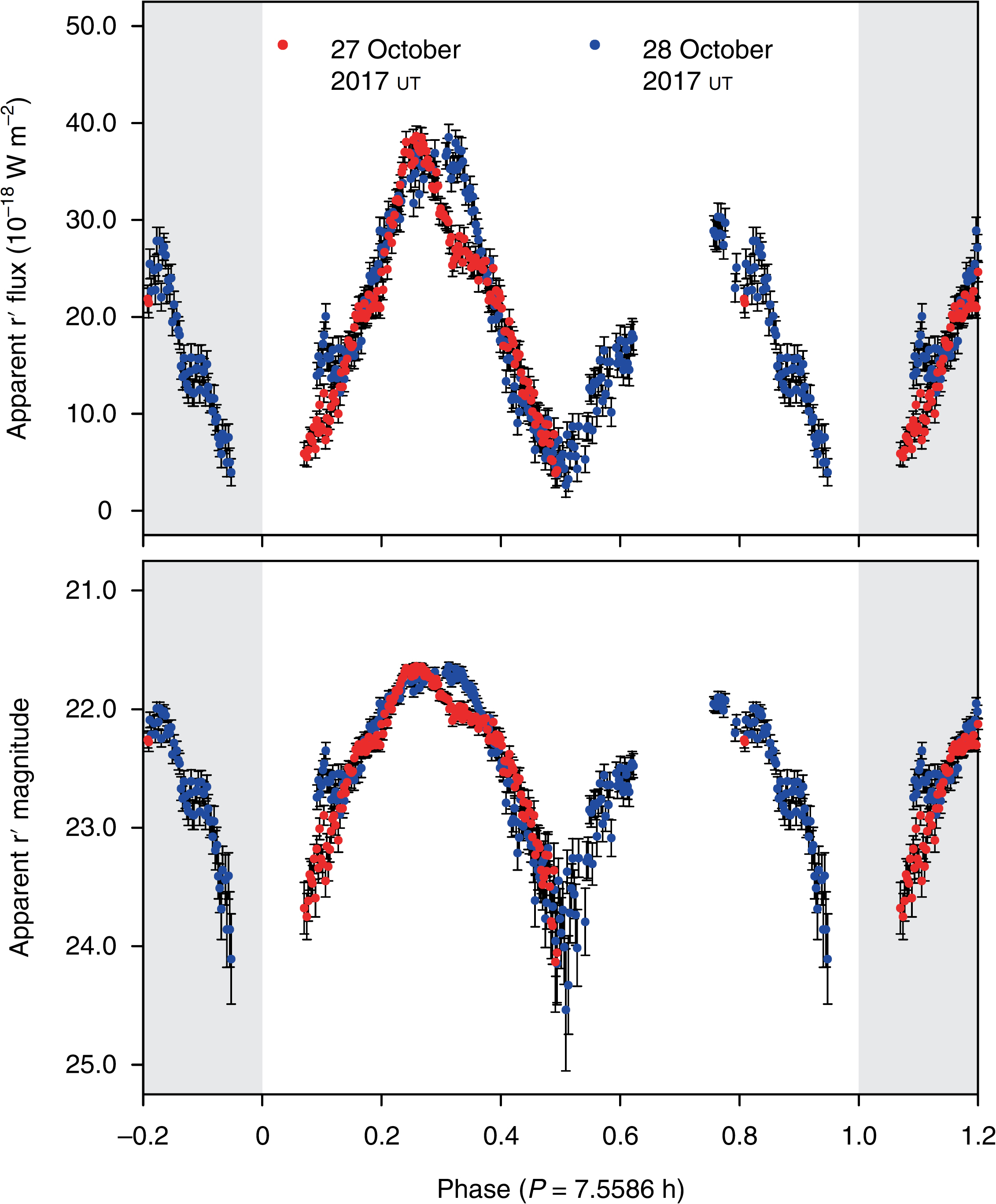
Interstellar comet with a familiar look

Jagiellonian University • 14 October 2019

A new comet discovered by amateur astronomer Gennady Borisov is an outcast from another star system, yet its properties determined so far are surprisingly familiar - a new study led by JU researchers shows. The team's findings are being published in Nature Astronomy on 14 October 2019.


Two-color composite image of comet 2I/Borisov captured by the Gemini North telescope on 10 September 2019. The image was obtained with eight 60-second exposures, four in green and four in red bands.
        For decades, astronomers have speculated that the space between stars may be populated by exosolar minor bodies - comets and asteroids - ejected from their home planetary systems. Studies have also suggested that these bodies may occasionally pass through the Solar System and be identified thanks to their strongly open orbits. The discovery of 'Oumuamua two years ago brought the long-awaited confirmation, sparking hopes for subsequent detections.
        A team of scientists led by astronomers from the Jagiellonian University in Krakow, Poland had done their homework well ahead of time. Prompted by the earlier visit of 'Oumuamua, they created a computer program nicknamed "Interstellar Crusher" that scanned tirelessly through online data of newly-found comets and asteroids in search of guests from far away. On 8 September 2019 at 04:15 universal time, the program issued a red alert and notified the team of a possible new hyperbolic object arriving from interstellar space. "This code was written specifically for this purpose, and we really hoped to receive this message one day. We only didn't know when," said Piotr Guzik of the Jagiellonian University, who led the study. The body had been first spotted by Gennady Borisov a week earlier, although its identity had been unknown at that time. A closer investigation into the object's orbit confirmed its exosolar origin, making it the second-known interstellar interloper.
        Two days after receiving the alert, the team was already scrutinizing their first images of the object obtained at the William Herschel Telescope on La Palma, Spain, and getting ready to receive more data from the larger Gemini North Telescope on Maunakea, Hawaii. The photographs were obtained in two color bands and provided the first astrophysically significant glimpse of the body. "We immediately noticed the familiar coma and tail that were not seen around 'Oumuamua," said Michal Drahus of the Jagiellonian University, who co-led the study with Guzik. "This is really cool because it means that our new visitor is one of these mythical and never-before-seen 'real' interstellar comets," Drahus said. It took proper measurements before the team could determine the comet's color and estimate its other properties. They have found that comet Borisov has a dust-dominated morphology, a reddish hue, and that its solid nucleus is about 1 km in radius. "Make of this what you will, but based on these initial characteristics, this object appears indistinguishable from the native Solar System comets," said Guzik.
        The team's findings are being published in Nature Astronomy on 14 October 2019. However, this is only a prologue to a more thorough investigation. "The comet is still emerging from the Sun's morning glare and growing in brightness. It will be observable for several months, which makes us believe that the best is yet to come," said Waclaw Waniak of the Jagiellonian University, co-author of the study. The team still has a considerable amount of observing time reserved on the Gemini North Telescope, and they had booked a large slot on the European Southern Observatory's Very Large Telescope well ahead of Borisov's discovery. "We can safely say that research on this body will be transformative for planetary astronomy and a milestone for astronomy in general," Guzik said.
        The study was conducted with significant financial support from the Polish National Science Centre as part of the SONATA BIS program (grant no. 2016/22/E/ST9/00109). The project is part of research conducted at the Department of Stellar and Extragalactic Astronomy of the Jagiellonian University's Astronomical Observatory.
 
[read more...]

In-depth measurements of the interstellar asteroid 'Oumuamua unveil its turbulent past and verify previous reports

Jagiellonian University • 2 May 2018

'Oumuamua is the first astronomical object known to science to have entered the Solar System from the interstellar space, having been ejected from its original planetary system. Using the giant Gemini North telescope in Hawaii, a team of scientists led by astronomers from the Jagiellonian University in Krakow conducted an in-depth study of the body. Among other findings, the study revealed that 'Oumuamua is "tumbling" through space, consistent with a collision in the distant past, as well as verified and expanded upon a number of previous reports. The results have just appeared in the latest issue of Nature Astronomy.


Changes in 'Oumuamua's brightness over two subsequent nights. The top panel shows the brightness in the linear flux scale and the bottom panel shows the brightness in the logarithmic magnitude scale.
        'Oumuamua is Hawaiian for "scout". This unique body was discovered with the Pan-STARRS telescope on 19 October 2017 and became a scientific sensation nearly immediately after. For astronomers, however, the visit of 'Oumuamua was hardly a surprise. They have been expecting for a long time already that darting unnoticed among the countless comets and asteroids that formed together with the Sun and planets, there are small objects born on orbits around other stars, from where they escaped to the interstellar space due to various gravitational pulls. In fact, most of the original comets and asteroids that originated in the Solar System met a similar fate in the remote past.
        "'Oumuamua is the long-awaited first bridge between extrasolar planetary systems and our own Solar System," said Michal Drahus from the Astronomical Observatory of the Jagiellonian University in Krakow, one of the main authors of the study. "Obtaining detailed information about this object is of fundamental significance to planetary research and astronomy as a whole," Drahus added.
        The scientists began their study shortly after the Pan-STARRS team announced their discovery. "Observations of 'Oumuamua were very demanding: not only was 'Oumuamua relatively dim, it also moved rapidly away from the Earth and Sun, becoming even dimmer every day," said Piotr Guzik, a PhD student at the Astronomical Observatory of the Jagiellonian University and another of the main authors of the study. "We knew from the beginning that we would need the most powerful telescopes in the world to be able to get valuable measurements," Guzik added. The team was granted 12 hours of observation time on the Gemini North telescope in Hawaii, one of the largest and most advanced astronomical instruments on the planet. The 12 hours were also the longest time ever allocated to observations of 'Oumuamua on a telescope of this class. "This translated directly into the most extensive and top-quality observational data," said Michal Drahus.
        In two nights of observations, the scientists took over 400 accurate photographs of the object that, combined together, allowed them to create the most detailed image of the object's immediate surroundings. They found that 'Oumuamua lacks a tail and coma, which are typical for comets, thus providing the most compelling evidence that the object is physically an asteroid. "This is a very important result, as we expected most of newly-discovered interstellar objects to be comets. But now it turns out that asteroids might be more common," explained Piotr Guzik.
        The scientists also used the individual photographs of 'Oumuamua to monitor changes in its brightness. Such changes occur naturally when an irregularly-shaped object rotates around its axis and thereby reflects a constantly changing amount of sunlight. "Already during our observations, we noticed that the range of changes in 'Oumuamua's brightness was very high. However, it took precise measurements before we could learn the true scale of the phenomenon," said Guzik. The scientists found out that 'Oumuamua's brightness changed as much as eleven-fold during a full rotation, which was higher than previously thought and never seen among Solar System bodies. The observed oscillations in brightness can provide valuable information about the shape of the object, but unravelling this information is far from easy. It was time for advanced computer modelling, performed by Waclaw Waniak from the Astronomical Observatory of the Jagiellonian University, co-author of the study. "If the changes in brightness are caused by the shape of the object, then the object must be highly elongated, though not necessarily as much so as the previous, simplified, calculations suggested," said Waniak. "Even an elongation ratio of 5:1 is enough to explain the observed oscillations." The team also determined that a day on 'Oumuamua lasts about 7.5 hours, the equivalent size of the object is only 150 meters, and its density - contrary to previous reports by other teams - may not be different from the typical density of Solar System's asteroids.
        The high-quality observational data indicated an imperfect repeatability of the changes in brightness between the subsequent rotations of the body. "Once we excluded other possibilities, we concluded that 'Oumuamua does not rotate smoothly, but rather, it 'tumbles' through space," said Michal Drahus. "Such a state can last hundreds of millions or even billions of years, and indicates that 'Oumuamua most likely underwent a collision in its original planetary system in the ancient past," he added. The "Scout" tells us that collisions in extrasolar planetary systems might be quite common, as was the case during the very beginnings of the Solar System.
        The visit of 'Oumuamua has opened a completely new chapter in planetary astronomy. "We are extremely grateful to the Gemini observatory for granting us such a generous amount of observation time, which gave us an opportunity to take part in this groundbreaking research," said Piotr Guzik.
        The results of the team's study were published on 1 May this year in the journal Nature Astronomy. The study was conducted with significant financial support from the Polish National Science Centre as part of the SONATA BIS program (Project No. 2016/22/E/ST9/00109). The project is part of research conducted at the Department of Stellar and Extragalactic Astronomy of the Jagiellonian University's Astronomical Observatory.
 
[read more...]

Unusual Asteroid Suspected of Spinning to Explosion

W. M. Keck Observatory • 19 March 2015

A team led by astronomers from the Jagiellonian University in Krakow, Poland, recently used the W. M. Keck Observatory in Hawaii to observe and measure a rare class of "active asteroids" that spontaneously emit dust and have been confounding scientists for years. The team was able to measure the rotational speed of one of these objects, suggesting the asteroid spun so fast it burst, ejecting dust and newly discovered fragments in a trail behind it. The findings are being published in Astrophysical Journal Letters on March 20, 2015.


Active asteroid P/2012 F5 captured by Keck II/DEIMOS in mid-2014. Top panel shows a wide-angle view of the main nucleus and smaller fragments (indicated by arrows when you move a mouse cursor over the image) embedded in a long dust trail. Bottom panel shows a close-up view with the trail numerically removed to enhance the visibility of the fragments.
        Unlike the hundreds of thousands of asteroids in the main belt of our solar system, which move cleanly along their orbits, active asteroids were discovered several years ago mimicking comets with their tails formed by calm, long lasting ice sublimation.
        Then in 2010 a new type of active asteroid was discovered, which ejected dust like a shot without an obvious reason. Scientist gravitated around two possible hypotheses. One states the explosion is a result of a hypervelocity collision with another minor object. The second popular explanation describes it as a consequence of "rotational disruption", a process of launching dust and fragments by spinning so fast, the large centrifugal forces produced exceed the object's own gravity, causing it to break apart. Rotational disruption is the expected final state of what is called the YORP effect - a slow evolution of the rotation rate due to asymmetric emission of heat.
        To date, astronomers have identified four objects suspected of either collision- or rotation-driven activity. These four freakish asteroids are all very small, at a kilometer or less, which makes them unimaginably faint when viewed from a typical distance of a couple hundred million miles. Despite prior attempts, the tiny size of the objects kept scientists from determining some of the key characteristics that could prove or disprove the theories.
        Until last August, when the team led by Michal Drahus of the Jagiellonian University was awarded time at Keck Observatory.
        "When we pointed Keck II at P/2012 F5 last August, we hoped to measure how fast it rotated and check whether it had sizable fragments. And the data showed us all that," Drahus said.
        The team discovered at least four fragments of the object, previously established to have impulsively ejected dust in mid-2011. They also measured a very short rotation period of 3.24 hours - fast enough to cause the object impulsively explode.
        "This is really cool because fast rotation has been suspected of catapulting dust and triggering fragmentation of some active asteroids and comets. But up until now we couldn't fully test this hypothesis as we didn't know how fast fragmented objects rotate," Drahus said.
        The astronomers calculated the object's rotation period by measuring small periodic fluctuations in brightness. Such oscillations occur naturally as the irregular nucleus rotates about its spin axis and reflects different amounts of sunlight during a rotation cycle.
        "This is a well-established technique but its application on faint targets is challenging," said Waclaw Waniak of the Jagiellonian University who processed the Keck Observatory data. "The main difficulty is the brightness must to be probed every few minutes so we don't have time for long exposures. We needed the huge collecting area of Keck II, which captures a plentiful amount of photons in a very short time."
        The photons were then concentrated in the telescope's light path and sent to the DEIMOS instrument to produce the data that allowed the scientists to determine P/2012 F5's nature. While monitoring brightness in the individual 3-minute exposures, scientists also compiled all the data to produce a single ultra-deep image, which revealed the fragments.
        The success wouldn't be possible if the selected target, P/2012 F5, were not an ideal candidate for this study. Alex R. Gibbs discovered the object on March 22, 2012 with the Mount Lemmon 1.5 meter reflector. It was initially classified as a comet, based solely on its "dusty" look. But two independent teams quickly have shown all this dust was emitted in a single pulse about a year before the discovery - something that doesn't happen to comets. When the dust settled in 2013, another team using the University of Hawaii's 2.2-meter telescope on Mauna Kea detected a star-like nucleus and suggested a maximum size of 2 kilometers.
        "We suspected that this upper limit was close to the actual size of the object. Consequently, we chose to observe P/2012 F5 because - despite its small size - it appeared to be the largest and easiest to observe active asteroid suspected of rotational disruption," said Jessica Agarwal of the Max Planck Institute for Solar System Research who chose P/2012 F5 as the subject.
        As a result of the study, P/2012 F5 is the first freshly fragmented object in the solar system with a well-determined spin rate, and this spin rate turns out to be the fastest among the active asteroids. A careful analysis made by the team shows that these two features of the object are consistent with the "rotational disruption" scenario. But alternative explanations, such as fragmentation due to an impact, cannot be completely ruled out.
        "There are many faster rotators among asteroids which don't show signs of a recent mass loss. And there are many hypervelocity impactors straying out there and looking for targets to hit - be it a fast or slow rotator," Drahus said.
        "We're indebted to the Caltech Optical Observatories for generously awarding Keck Observatory time for this program," said Drahus - formerly a NRAO Jansky Fellow at Caltech. "Without the huge collecting area of Keck II's 10-meter mirror, we wouldn't be able to achieve our goals so swiftly."
        The W. M. Keck Observatory operates the largest, most scientifically productive telescopes on Earth. The two, 10-meter optical/infrared telescopes near the summit of Mauna Kea on the Island of Hawaii feature a suite of advanced instruments including imagers, multi-object spectrographs, high-resolution spectrographs, integral-field spectrographs and world-leading laser guide star adaptive optics systems.
        DEIMOS (the DEep Imaging and Multi-Object Spectrograph) boasts the largest field of view (16.7 arcmin by 5 arcmin) of any of the Keck instruments, and the largest number of pixels (64 Mpix). It is used primarily in its multi-object mode, obtaining simultaneous spectra of up to 130 galaxies or stars. Astronomers study fields of distant galaxies with DEIMOS, efficiently probing the most distant corners of the universe with high sensitivity.
        Keck Observatory is a private 501(c) 3 non-profit organization and a scientific partnership of the California Institute of Technology, the University of California and NASA.
 
[read more...]


Other research


Rotational dynamics of comet nuclei


Some comets spontaneously break up or disintegrate for no apparent reason. The effect has been hypothesized to be caused by rapid rotation. However, a prerequisite for rotational disruption is the evolution of the rotation rate. Despite several tentative detections of this process in comets, it was robustly measured only in 2007. The study led by Mike Belton showed that the nucleus of comet 9P/Tempel 1 was slowly spinning up. I contributed to this work by catching this effect "in the act" upon applying to the data dynamical periodicity-search algorithms created earlier with Waclaw Waniak.
        A subsequent project, supported by a group of collaborators, allowed us to measure very rapid spin changes of comet 103P/Hartley 2, visited by NASA's EPOXI spacecraft. We measured a rotational deceleration of roughly 1 minute per day and the spin period at the epoch of observations of about 18 hours. This time, our original dynamical approach was applied, for the first time, to a time series of molecular spectra, taken at very high resolution in the millimeter-wavelength domain.
        The results obtained so far confirm that the spin-period evolution can be rapid and possibly lead to rotational disruption. This process is fastest for the smallest and most active cometary nuclei. With my colleagues we believe that many such objects may be rotationally disrupted before being discovered, becoming in this way the main source of the Zodiacal dust in our solar system. It would be very interesting to identify one day a fast rotator rapidly spinning up, and check if it breaks up when it should. Another challenge is to start measuring spin changes in Oort-cloud comets.
 
Publications:
  • Drahus et al. 2011, ApJL 734, L4
  • Drahus & Waniak 2006, Icarus 185, 544
  • Belton et al. 2011, Icarus 213, 345
  • Belton & Drahus 2007, BAAS 39, 498

  • Compositional structure of cometary ices




    Examples of the line profiles of CH3OH (left panel) and HCN (right panel), illustrating the temporal variation of comet 103P/Hartley 2 as the nucleus rotates (from top to bottom).
    While it's been well established that comets are primordial remnants of the solar system formation, it is not clear how they actually formed. This can be investigated through the chemical structure of the nucleus. A homogeneous composition would suggest rapid creation in one place. However, cometary nuclei may in fact originate from smaller cometesimals, which accumulated into comets in the early solar system. Because of the expected radial migration of cometesimals, these hypothetical building blocks of comets could originate at different heliocentric distances in the proto-solar disk and have different chemical compositions. In this case, the resulting cometary nucleus would be chemically heterogeneous.
            With my colleagues we addressed this problem by observing spectroscopically two characteristic cometary volatiles: HCN and CH3OH. A long time series obtained for comet 103P/Hartley 2 revealed dramatic changes in the spectral profiles as the nucleus rotated. We concluded that the object was chemically heterogeneous. Whether it's a primordial or evolutionary property is an open issue, but our reasoning suggests the latter.
            The HCN spectra of 103P/Hartley 2 were also used by Waclaw Waniak to investigate the photochemical relation of this molecule with CN. Stay tuned as the results of his state-of-the-art modeling are coming up soon.
     
    Publications:
  • Drahus et al. 2012, ApJ 756, 80
  • Waniak et al. 2012, A&A 543, A32
  • Waniak et al. 2009, EM&P 105, 327
  •